Back to Home Page of CD3WD Project or Back to list of CD3WD Publications

PREVIOUS PAGE TABLE OF CONTENTS NEXT PAGE


Appendix H - Histograms of 1994 test results

Malawi:

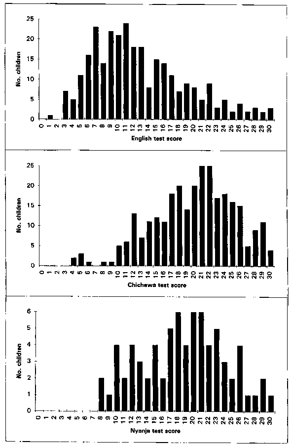
All children, English, Chichewa, Nyanja
English by location
English by sex
Chichewa by location
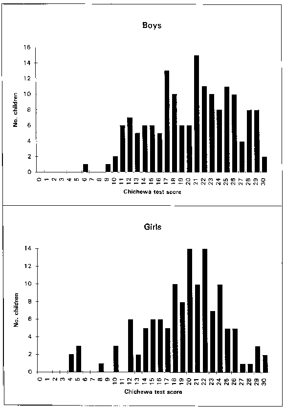
Chichewa by sex

Zambia

All children, English, Nyanja
English by location
English by sex
Nyanja by location
Nyanja by sex

Malawi - Distribution of test scores - all children

Malawi - Test scores by location

Malawi - Test score by sex

Malawi - Test scores by location

Malawi - Test score by sex

Zambia - Distribution of test scores - all children

Zambia - Test scores by location

Zambia - Test score by sex

Zambia - Test scores by location

Zambia - Test score by sex


PREVIOUS PAGE TOP OF PAGE NEXT PAGE