Back to Home Page of CD3WD Project or Back to list of CD3WD Publications

GO TO 'PREVIOUS PAGE' GO TO 'TABLE OF CONTENTS' GO TO 'NEXT PAGE'

BIOLOGICAL CONTROL OF THE LARGER GRAIN BORER, PROSTEPHANUS TRUNCATUS (HORN) (COLEOPTERA: BOSTRICHIDAE) IN BENIN AND TOGO

C. BORGEMEISTER1,2, H. SCHNEIDER1,2,3, C. ADDA1, H. AFFOGNON1,3, D. AGOUNKE4, A. BILIWA4, A. TCHABI1,5, M. CAMARA1,6, R.H. MARKHAM1 & D. SCHOLZ1,2

1 International Institute of Tropical Agriculture (IITA), Benin
2 Institute of Plant Diseases and Plant Protection, University of Hannover, Germany
3 Deutsche Gesellschaft für Technische Zusammenarbeit (GTZ) GmbH, German Technical
Co-operation, Eschborn, Germany
4 National Plant Protection Agency, Lomé, Togo
5 University of Benin, Lomé, Togo
6 Institute of Plant Pathology, University of Göttingen, Germany

Introduction

The larger grain borer, Prostephanus truncatus (Horn) (Coleoptera: Bostrichidae), was accidentally introduced into East and West Africa in the late 1970s and early 1980s, respectively (Dunstan & Magazini, 1981; Harnisch & Krall, 1984). Originating from Mexico and Central America (Markham et al., 1991), the presence of the beetle has been confirmed to date in a total of 13 African countries (Hodges, 1994; Adda et al., 1996; Sumani & Ngolwe, 1996). In many of the affected countries, P. truncatus has since become the most serious pest of farm-stored maize and dried cassava. In Tanzania, dry weight losses of maize of more than 30% over a short storage season have been recorded locally (Hodges et al., 1983; Keil, 1988; Henckes, 1992), and with the introduction of P. truncatus, dry weight losses of farm-stored maize in Togo were estimated to have risen from 7 to 30% (Pantenius, 1987). After six months of storage, mean dry weight losses of 20% were recorded for farm-stored cassava chips in Togo, and most of the losses were attributed to serious P. truncatus infestations (Wright et al., 1993). Chemical control strategies based on the application of a binary insecticide, combining a synthetic pyrethroid to control P. truncatus with an organophosphate to protect against other storage pests, especially Sitophilus zeamais Motschulsky (Coleoptera: Curculionidae), were introduced with considerable success in East Africa (Golob, 1988). However, such strategies have not been widely adopted in Benin (Agbaka, 1996) possibly because the insecticides are less effective under the more humid conditions in West Africa or because the socio-economic context is less favourable for their adoption (IITA, unpublished data). In addition, the desire to avoid the health and environmental dangers inherent in the application of pesticides to food and food crops in the rural sector, as well as the difficulties of distributing pesticides effectively in rural areas, has stimulated the search for biologically based alternatives (Böye et al., 1988). As part of the effort to develop classical biological control options, a natural enemy of P. truncatus, the predator Teretriosoma nigrescens Lewis (Coleoptera: Histeridae), was identified in Central America (Haines, 1981; Böye, 1988). Laboratory (Pöschko, 1993) and field (Camara, 1996) investigations of the prey specificity of T. nigrescens revealed that the Histerid, which locates its prey using the prey’s aggregation pheromone, is, due to this prey-finding behaviour, a highly specific predator, which may attack and prey on other insects, but largely prefers P. truncatus in its diet. Subsequently, the predator has been introduced to Africa, and it has so far been released in Togo (Biliwa et al., 1992), Benin (Anonymous, 1992), Ghana (Compton & Ofosu, 1994), Kenya (Giles et al., 1995), Guinea Conakry (IITA, unpublished data), and Zambia (IITA, unpublished data). Further releases are planned in Uganda, Burundi, Rwanda, Malawi, and Tanzania. We here report about studies monitoring and evaluating the establishment, spread and impact of T. nigrescens in Benin.

Materials and Methods

Surveys in south-western Benin

Data on flight activity of T. nigrescens and P. truncatus were recorded using sticky flight traps (Pherocon II, Trécé, Salinas, CA) baited with the two component synthetic aggregation pheromone of P. truncatus (1 mg of Truncall 1 and 1 mg of Truncall 2; AgriSense-BCS, Pontypridd, U.K.), which attracts both predator and prey (Böye et al., 1992). After the first detection of T. nigrescens in a pheromone trap in Benin in August 1992, in a site in the south-western part of the country close to the Togolese border, six surveys were carried out between October 1992 and February 1996, in order to monitor the spread of the predator in Benin. A total of 83 sampling sites in the Mono province of south-western Benin was used in the study (Fig. 1). Because both the pest and the natural enemy invaded Benin from Togo, sites were selected starting from the Togo - Benin border along a west to east gradient of approximately 80 km distance, with more sites in the border area. The locations were grouped in 9 strips of approximately 9 km width, in the following referred to as transects.

Fig. 1.



T. nigrescens survey sites and pheromone trap locations in the Mono province of south-western Benin, and T. nigrescens releases sites in southern Togo.


MAP (26 KB)

Continuous pheromone trapping

In addition to the surveys, continuous data on flight activity of P. truncatus and T. nigrescens were recorded in eight locations of the Mono province (Fig. 1). The same trap type and pheromone lures were used as in the surveys. Traps and lures were changed at weekly intervals. Flight data gathered between April 1992 and October 1997 are presented.

Storage experiments

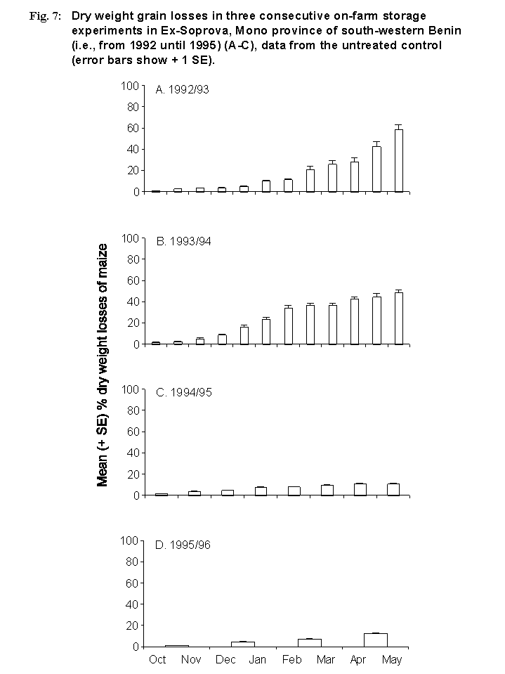
Data from the untreated controls of four storage trials, carried out on the same farm (near Dogbo, Mono Province) in consecutive years, are presented here. The same maize cultivar, 'TZSR-W' (Tropical Zea mays, Streak Resistant-White), an improved, tropical adapted, floury 120-d IITA variety, was used in all trials and was planted on the farm during the respective major growing season (i.e., between April and August). The experiments were carried out between September and April of 1992/1993, 1993/1994, 1994/1995, and 1995/1996. The design and the amount of maize stored in the grain stores varied between the experiments, but in all trials cobs were stored with husks intact, in stores similar to traditional local stores. In the 1992/1993 experiment, 80 cobs per replicate (with a total of three replicates per treatment) were collected on each sampling occasion, and in the 1993/1994, 1994/1995 and 1995/1996 trials, 150 cobs were sampled per replicate (with a total of three and four replicates per treatment, respectively). The moisture content of the maize was determined using standard oven-drying techniques (ISO 1980). Sampled cobs were dehusked, shelled, and sieved to collect all adult insects. The data are expressed as mean numbers of P. truncatus and T. nigrescens per kilogram of dry-matter grain. Grain loss was measured using the count and weigh method (Harris & Lindblad, 1978), with 15 replicates per sampled store.

Extensive pheromone trapping and maize sampling

Large scale pheromone trapping of P. truncatus and T. nigrescens and parallel maize sampling in farmers’ maize stores were carried out for a period of 28 months, i.e., from May 1995 until August 1997 in southern Togo and the whole of Benin. A total of 124 trapping and sampling sites was chosen across the different agro-ecological zones from the humid-coastal region of Togo and Benin to the northern Guinea savannah in northern Benin (Fig. 2). Traps in the south were changed at two-week intervals. Due to the inferior P. truncatus presence in the northern part of Benin, in these regions traps were changed every month. During the storage period, in all pheromone trapping sites samples from farmers' maize stores (10 cobs) were collected every four weeks.

Fig. 2.



P. truncatus and T. nigrescens pheromone trap locations in Benin and Togo.



MAP (14 KB)

The damage level of the sampled cobs was assessed, using visual classification tools, and all insects per cob were identified and counted.

Results

Surveys

The numbers of trapped T. nigrescens considerably increased in the course of the 2.5 years of observation (Figs. 3 and 4). A comparison of the three October surveys revealed that the predator had spread between 1992 and 1994 throughout the whole area of investigation (Fig. 2). Rising numbers of T. nigrescens were accompanied by decreasing numbers of P. truncatus.

Fig.3.




P. truncatus (A, C, E) and T. nigrescens (B, D, F) trap catches during three different surveys in the Mono province of south-western Benin: October 1992 (A, B), October 1993 (C, D), and October 1994 (E, F). Traps were arranged in nine parallel transects running north to south placed at 10-km intervals from the border of Togo. Traps were examined weekly. Bars show mean trap numbers per location (error bars show + 1 SE). GRAPH (13 KB)
Fig.4.



P. truncatus (A, C) and T. nigrescens (B, D) trap catches during two surveys in the Mono province of south-western Benin: May 1993 (A, B), and May 1995 (C, D). Traps were arranged in nine parallel transects running north to south placed at 10-km intervals from the border of Togo. Traps were examined weekly. Bars show mean trap numbers per location (error bars show + 1 SE). GRAPH1.1_D.GIF (14 KB)

The trap catches of the two May surveys revealed a similar scenario, with a notable increase of T. nigrescens numbers in 1995 compared to 1993 and, at the same time, decreasing numbers of P. truncatus (Fig. 4). Again T. nigrescens was present in all transects during the second survey, showing a spread of the predator throughout the whole province.

Continuous monitoring

When the flight activity of P. truncatus and T. nigrescens in the Mono province was monitored between April 1992 and October 1997 (Fig. 5), the flight activity of P. truncatus was strongly seasonal, with two peaks in trap catches, especially in the early years of the study. The first peak occurred between the end of December and the end of February, during the major dry season in southern Benin, and the second one between April and June, during the first part of the rainy season. The lowest flight activity of P. truncatus was always recorded in October. The December to February peaks of 1994-1995 and especially of 1995-1996 and 1996-1997 were notably lower than in previous years. Moreover, the April to June peak in 1996 and the flight activity in April and May 1997 were strikingly low compared with the previous years.

Fig.5.



P. truncatus (single line) and T. nigrescens (solid line) pheromone trap catches in the Mono province of south-western Benin from April 1992 to April 1997. Traps were examined weekly. Data points represent mean of seven to nine traps.
GRAPH (12 KB)

Teretriosoma nigrescens was first recorded at these trap sites in August 1992. Thereafter, the numbers of trapped T. nigrescens increased considerably. Highest trap catches of T. nigrescens were recorded in 1994 and 1995. With the decrease in flight activity of P. truncatus in 1996 and 1997, fewer numbers of T. nigrescens were recorded in the pheromone traps. The seasonal flight cycle of T. nigrescens exhibited only a single peak, occurring four to six weeks after the April to June peak of P. truncatus (Fig. 5).

Fig.6.



Number of P. truncatus (+ ) and T. nigrescens (6 ) in three consecutive on farm storage experiments in Ex-Soprova, Mono province of south-western Benin (i.e., 1992 until 1995) (A-C), data from the untreated control.

GRAPH1.1_F.GIF (12 KB)

Field trials

Prostephanus truncatus densities and accumulated grain losses during three consecutive storage experiments in the Mono province showed that, in the 1992-1993 trial, the initial P. truncatus infestation was detected in November (i.e., six weeks after loading the maize stores) (Figs. 6A and 7A). From February onwards (i.e., after five months of storage), P. truncatus numbers started to increase in a nearly exponential fashion, reaching densities of more than 2,000 P. truncatus per kilogram of maize in April and May (i.e., after eight to nine months of storage) (Fig. 6A). High densities of P. truncatus were accompanied by extremely high grain losses (Fig. 7A). No T. nigrescens were recorded throughout this field experiment. In the 1993-1994 trial, the population build-up of P. truncatus commenced earlier but reached a lower maximum density, with approximately 800 P. truncatus per kilogram of maize at the end of January (i.e., six months after loading the stores) (Fig. 6B). Thereafter, P. truncatus numbers sharply decreased, reaching a level of approximately 400 beetles per kilogram maize. T. nigrescens was observed for the first time in the course of the 1993-1994 storage trial, with high densities from January onward. The decline of the P. truncatus population occurred during a period when T. nigrescens numbers were rising (Fig. 6B). Compared with the 1992-1993 experiment, the accumulated grain losses increased faster, reaching nearly 40% in February after five to six months of storage (Fig. 7B). However, no major increase of losses was observed subsequently. P. truncatus densities were extremely low in the 1994-1995 and 1995-1996 trials (Fig. 6C and D). Peak numbers were more than 10-fold lower than in the previous year and nearly 30-fold less than those in the 1992-1993 experiment. In the 1994-1995 experiment population density estimates of T. nigrescens during the last three months of the storage trial (i.e., between March and April) were nearly as high as those of P. truncatus. Higher numbers of P. truncatus were recorded in the course of the 1995-1996 storage trial. However, in both experiments maximum grain losses of 12% were recorded in May after nine months of storage (Fig. 7C and D).

Large scale trapping and sampling

The monitoring of P. truncatus and T. nigrescens over a period of two years revealed that both species were migrating from west to east, and from south to north, with T. nigrescens moving much faster than its prey (Fig. 8-11). The west and the middle of southern Benin had been colonised by P. truncatus first (Fig. 8). However, T. nigrescens was catching up with P. truncatus. The south-eastern part of Benin had been colonised approximately at the same time by both prey and predator (Fig. 9).

Fig.7.



Dry weight grain losses in three consecutive on-farm storage experiments in Ex-Soprova, Mono province of south-western Benin (i.e., from 1992 until 1995) (A-C), data from the untreated control (error bars show + 1 SE).

GRAPH1.1_G.GIF (12 KB)
Fig.8.





Results of trap catches and store samples in south-west of southern Togo and the Mono district of Benin. Trap catches are mean P. truncatus (Pt) ( ) and T. nigrescens (Tn) (· ) numbers in 32 traps placed in Togo and Benin. Traps were changed every two weeks. Store samples are mean P. truncatus numbers per cob in 32 stores in the vicinity of the trap sites; sampling interval four weeks, observation period for trap and store samples from July 1995 to January 1997. GRAPH1.1_H.GIF (18 KB)

In the northern part of Benin, P. truncatus was mainly found around market places, suggesting a dispersion of the pest through trade (Fig. 10 and 11). In these areas, T. nigrescens was yet detected only in low numbers. In the course of this study, grain losses due to P. truncatus attack were considerably decreasing in all sampling sites in the south of Benin and Togo (Fig. 8 and 9). In the northern part and in some sites of the central region of Benin, however, grain losses were increasing in areas with high P. truncatus trap catches (Fig. 10 and 11).

Fig.9.




Results of trap catches and store samples in the Atlantique and Quéme districts of Benin. Trap catches are mean P. truncatus (Pt) ( ) and T. nigrescens (Tn) (· ) numbers in 36 traps. Store samples are mean P. truncatus numbers per cob in 36 stores in the vicinity of the trap sites; observation period for trap and store samples from June 1995 to May 1997 (for more details see Fig. 8).
GRAPH1.1_I.GIF (20 KB)

Discussion

The survey data clearly demonstrate the rapid establishment and spread of T. nigrescens throughout the Mono Province of south-western Benin. Within the 4 years of observation, the predator became abundant across the whole area of investigation, indicating a west-to-east spread of approximately 70-80 km. The faster spread of the predator in Benin, compared with that indicated by studies from Togo (Böye & Fischer, 1993) and Kenya (Giles et al., 1995), is probably related to the intensive trade of maize grain in coastal Benin. Maize from southern Togo is often exported, both on a local and on a regional level, to southern Benin. The recent outbreaks of P. truncatus in Burkina Faso and in Niger probably resulted from the importation of infested maize (Bosque-Pérez et al., 1991; Adda et al., 1996), and it is equally likely that the spread of T. nigrescens not only depends on the active dispersal of the predators but that the insects are also distributed in the region by maize trade.

Fig.10.





Results of trap catches and store samples in central Togo and the Zou district of Benin. Trap catches are mean P. truncatus (Pt) ( ) and T. nigrescens (Tn) (· ) numbers in 20 traps. Store samples are mean P. truncatus numbers per cob in 20 stores in the vicinity of the trap sites; observation period for trap and store samples from May 1995 to February 1997 (for more details see Fig. 8).
GRAPH1.1_J.GIF (17 KB)

In southern Benin, a single small release of 787 T. nigrescens was carried out in 1992 (Anonymous, 1992), whereas in neighbouring Togo, a total of 138,700 predators was released between 1991 and 1993 (Böye et al., 1997). Hence, it is most likely that the majority of T. nigrescens encountered in the pheromone monitoring initially originated from Togo. This is consistent with the distinct west to east gradient observed, with high numbers of T. nigrescens in the pheromone traps only in the border area to Togo during the 1992 and 1993 surveys.

Results from the trap catches during the five surveys between 1992 and 1995 demonstrate a distinct increase of T. nigrescens accompanied by decreasing numbers of P. truncatus in the pheromone traps. Follow-up studies of the T. nigrescens releases in Kenya revealed that the numbers of P. truncatus in pheromone traps considerably decreased in the release areas, accompanied by rising trap catches of T. nigrescens (Giles et al., 1995).

Fig.11.





Results of trap catches and store samples in the Atacora and Borgou districts of Benin. Trap catches are mean P. truncatus (Pt) ( ) and T. nigrescens (Tn) (· ) numbers in 36 traps; traps were changed every four weeks. Store samples are mean P. truncatus numbers per cob in 36 stores; observation period for trap and store samples from May 1995 to March 1997 (for more details see Fig. 8).
GRAPH1.1_K.GIF (17 KB)

The continuous trap data between 1992 and 1994 showed an annual bimodal pattern of flight activity for P. truncatus. Similar annual bimodal peaks in flight activity were also noted by Wright et al. (1993) in their study in southern Togo. However, in 1995 and 1996 the December to February peak was notably reduced compared with those from previous years, followed by increasing trap catches of T. nigrescens. The December-February peak in flight activity of P. truncatus in south-western Benin is probably related to the storage cycle, resulting from beetles that emigrated from maize stores (Borgemeister et al., 1997). However, the second peak, between April and June, most likely reflects the seasonal searching behaviour of the beetle for its natural woody host plants. Most likely, the lower trap catches of P. truncatus during the December to February peaks in 1995 and 1996 resulted from an overall reduction of P. truncatus abundance in maize stores, caused by T. nigrescens. In addition, the comparatively low April to June peak of P. truncatus in 1996, possibly reflects an overall reduction of P. truncatus presence in the area of investigation.

The results from the four consecutive on-farm storage experiments clearly demonstrated a very considerable reduction of P. truncatus infestation, accompanied by a reduction of grain losses and increasing T. nigrescens densities. The maximum level of grain losses recorded in the 1994-1995 and in the 1995-1996 trial corresponds well with the average grain losses after six months of storage reported for southern Togo prior to the introduction of P. truncatus (Pantenius, 1987). Mutlu (1994), in her study in southern Togo, found lower P. truncatus infestation in grain stores in villages where T. nigrescens had been released, compared with non release villages.

During the course of this study, trap catches of P. truncatus were decreasing in the south of Benin and Togo, accompanied by a considerable reduction in grain losses in rural maize stores. At the same time we recorded increasing numbers of T. nigrescens in the pheromone traps in these areas, indicating an establishment, spread and impact of the predator on the population dynamics of its prey. However, in certain areas, particularly in the north of Benin, pest densities were still high. Consequently, most recently a series of releases of T. nigrescens were carried out in several sites in the Borgou and Atakora province of northern Benin (IITA, unpublished data). Studies on impact assessment of the predator in these areas are ongoing.

We believe that our data provides strong evidence for a reduction in both grain damage and P. truncatus population as a consequence of increasing T. nigrescens populations, i.e. due to classical biological control. Further releases of T. nigrescens in P. truncatus-outbreak countries in Africa are either under way or planned. However, long-term follow-up studies in these countries will be necessary to provide further supporting evidence for the impact of T. nigrescens on larger grain borer populations.

Acknowledgements

The work was conducted within the framework of projects supported by the German Ministry for Economic Co-operation and Development (BMZ). The authors would like to thank the colleagues from the Service de Protection des Végétaux (SPV), Porto Novo, Benin, for their collaboration in the course of the T. nigrescens releases in northern Benin.

 

References

Adda, C., Borgemeister, C., Meikle, W.G., Markham, R.H., Olaleye, I., Abdou, K.S., and

Zakari, M.O., 1996.
First record of the larger grain borer, Prostephanus truncatus (Coleoptera: Bostrichidae), in the Republic of Niger. Bulletin of Entomological Research 86: 83-85.

Agbaka, A., 1996.

Etude biologique et possibilité de lutte integrée contre Prostephanus truncatus(Horn) (Coleoptera: Bostrichidae) ravageur des stocks de maïs dans les milieux paysans en République du Bénin. Ph.D. dissertation, Université Nationale de Côte d'Ivoire, Abidjan, Côte d'Ivoire.

Anonymous, 1992.

Rapport Annuel 1992 [Annual report 1992]. Service Protection des Végétaux et du Contrôle Phytosanitaire. Porto Novo, République du Bénin.

Biliwa, A., Böye, J., Fischer, H.U., and Helbig, J., 1992.

Stratégie de lâchers et études de suivi de Teretriosoma nigrescens au Togo, pp. 138-142. In Böye, J., Wright, M., and Laborius, G.-A. [eds.], Implementation of and further research on biological control of the larger grain borer. Proceedings of an FAO/GTZ Coordination Meeting. Food and Agriculture Organisation of the United Nations, Rome, Italy, and Deutsche Gesellschaft für Technische Zusammenarbeit, Eschborn, Germany.

Borgemeister, C., Meikle, W.G., Adda, C., Degbey, P., and Markham, R.H., 1997.

Seasonal and meteorological factors influencing the annual flight cycle of Prostephanus truncatus (Coleoptera: Bostrichidae) and its predator Teretriosoma nigrescens (Coleoptera: Histeridae) in Benin. Bulletin of Entomological Research 87: 239-246.

Bosque-Pérez, N.A., Traore, S., Markham, R.H., and Fajemisin, J.M., 1991.

Occurrence of larger grain borer, Prostephanus truncatus, in Burkina Faso. FAO Plant Protection Bulletin 39: 182-183.

Böye, J., 1988.

Autökologische Untersuchungen zum Verhalten des großen Kornbohrers Prostephanus truncatus (Horn) (Coleoptera; Bostrichidae) in Costa Rica [Autecological investigations on the behavior of the larger grain borer Prostephanus truncatus (Horn) (Coleoptera: Bostrichidae) in Costa Rica]. Ph.D. dissertation, Christian-Albrechts-University Kiel, Germany.

Böye, J., and Fischer, H.U., 1993. Auswanderung von Teretriosoma nigrescens

Lewis (Col., Histeridae) aus einem künstlich besetzten Maisspeicher unter Feldbedingungen in Togo [Emigration of Teretriosoma nigrescens Lewis
(Col., Histeridae) under field conditions from an artificially infested maize store in Togo]. Anzeiger Schädlingskunde Pflanzenschutz und Umweltschutz 66: 151-155.

Böye, J., Burde, S., Keil, H., Laborius, G.-A., and Schulz, F.A., 1988.

The possibilities for biological integrated control of the larger grain borer (Prostephanus truncatus (Horn)) in Africa, pp. 110-139. In Schulten, G.G.M. and Toet, J.A. [eds.], Workshop on the containment and control of the larger grain borer, Arusha, Tanzania. Food and Agriculture Organization of the United Nations, Rome.

Böye, J., Laborius, G.A., and Schulz, F.A., 1992.

Response of Teretriosoma nigrescens Lewis (Col., Histeridae) to the pheromone of Prostephanus truncatus (Horn) (Col., Bostrichidae). Anzeiger Schädlingskunde Pflanzenschutz und Umweltschutz 65: 153-157.

Böye, J., Biliwa, A., Fischer, H.U., Helbig, J., and Richter, J., 1997.

Le lâcher et la dispersion d'un lot de Teretriosoma nigrescens Lewis (Col., Histeridae) au Togo, pp. 321-328. In Badu-Apraku, B., Akoroda, M.O., Ouedraogo, M., and Quin, F.M. [eds.], Contributing to food self-sufficiency: Maize research and development in West and Central Africa. Proceedings of a Regional Maize Workshop, 29 May-2 June 1995, Cotonou, Benin Republic. International Institute of Tropical Agriculture, Cotonou, Benin Republic.

Camara, M., 1996.

Elektrophoretische Untersuchung des Beutespektrums von Teretriosoma nigrescens Lewis (Coleoptera: Histeridae), ein natürlicher Feind des Großen Kornbohrers Prostephanus truncatus (Horn) (Coleoptera: Bostrichidae) [Electrophoretic investigations of the prey composition of Teretriosoma nigrescens Lewis (Coleoptera: Histeridae), a natural enemy of the larger grain borer Prostephanus truncatus (Horn) (Coleoptera: Bostrichidae)]. Ph.D. dissertation, University of Göttingen, Germany.

Compton, J.A.F., and Ofosu, A., 1994.

Biological control of the larger grain borer with Teretriosoma nigrescens, pp. 1-8. In Compton, J.A.F. [ed.], Sixth Quarterly Report, Ghana Larger Grain Borer Project (Research Programme - Volta Region). Ghana Ministry of Food and Agriculture, Accra, Ghana and U.K. Overseas Development Administration, London.

Dunstan, W.R., and Magazini, I.A., 1981.

Outbreaks and new records. Tanzania. The larger grain borer on stored products. FAO Plant Protection Bulletin 29: 80-81.

Giles, P., Hill, G., Nang'ayo, F., Farrell, G., Stabrawa, A., and Wekesa, P., 1995.

Entomological and socio-economic investigations for the development of integrated pest management strategies against Prostephanus truncatus. Kenya Agriculture Research Institute, Nairobi, Kenya and Natural Resources Institute, Chatham, Kent , U.K.

Golob, P., 1988. Chemical control of the larger grain borer, pp. 53-69.

In Schulten, G.G.M., and Toet, A.J. [eds.], Workshop on the containment and control of the larger grain borer, Arusha, Tanzania. Food and Agriculture Organization of the United Nations, Rome.

Haines, C.P., 1981.

Insects and arachnids from stored products: A report on specimens received by the Tropical Stored Products Centre 1973-1977. Report of the Tropical Products Institute L54. Natural Resources Institute, Chatham, Kent, U.K.

Harnisch, R., and Krall, S., 1984.

Togo: further distribution of the larger grain borer in Africa.
FAO Plant Protection Bulletin 32: 113-114.

Harris, K.L., and Lindblad, C.J., 1978.

Post-harvest grain loss assessment methods. American Association of Cereal Chemist, St. Paul, MN.

Henckes, C., 1992.

Investigations into insect population dynamics, damage and losses of stored maize --
an approach to IPM on small farms in Tanzania with special reference to Prostephanus truncatus (Horn). Ph.D. dissertation, Technical University of Berlin, Germany.

Hodges, R.J., 1994.

Recent advances in the biology and control of Prostephanus truncatus (Coleoptera: Bostrichidae), pp. 929-934. In Highley, E., Wright, E.J., Banks, H.J., and Champ, B.R. [eds.], Stored Product Protection. Proceedings of the 6th International Working Conference on Stored-Product Protection. CAB, Wallingford, U.K.

Hodges, R.J., Dunstan, W.R., Magazini, I.A., and Golob, P., 1983.

An outbreak of Prostephanus truncatus (Horn) (Coleoptera: Bostrichidae) in East Africa. Protection Ecology 5: 183-194.

Holling, C.S., 1959.

The components of predation as revealed by a study of small-mammal predation of the European pine sawfly. Canadian Entomologist 91: 293—320.

[ISO] International Organisation for Standardisation, 1980.

Determination of moisture content (on milled grain and on whole grain).
ISO 6540. ISO, Geneva, Switzerland.

Keil, H., 1988.

Losses caused by the larger grain borer in farm stored maize, pp. 28-52. In Schulten, G.G.M., and Toet, A.J. [eds.], Workshop on the containment and control of the larger grain borer, Arusha, Tanzania. Food and Agriculture Organization of the United Nations, Rome.

Markham, R.H., Wright, V.F., and Ríos Ibarra, R.M., 1991.

A selective review of research on Prostephanus truncatus (Col.: Bostrichidae) with an annotated and updated bibliography. Ceiba 32: 1-90.

Mutlu, P., 1994.

Ability of the predator Teretriosoma nigrescens Lewis (Col.: Histeridae) to control larger grain borer (Prostephanus truncatus (Horn) (Col.: Bostrichidae) under rural storage conditions in the southern region of Togo, pp. 1116-1121. In Highley, E., Wright, E.J., Banks, H.J., and Champ, B.R. [eds.], Stored Product Protection. Proceedings of the 6th International Working Conference on Stored-Product Protection. CAB, Wallingford, U.K.

Pantenius, C.U., 1987. 

Verlustanalyse in kleinbäuerlichen Maislagerungssystemen der Tropen, dargestellt am Beispiel von Togo [Loss analysis in small-farmer maize-storage systems of the tropics, based on the example of Togo]. Ph.D. dissertation, Christian-Albrechts University Kiel, Germany.

Pöschko, M., 1993.

Biologie und Wirtsspezifität von Teretriosoma nigrescens Lewis (Col.: Histeridae) [Biology and prey specificity of Teretriosoma nigrescens Lewis (Col.: Histeridae)]. Ph.D. dissertation, Technical University of Berlin.

Sumani, A.J., and Ngolwe, A.R.K., 1996.

Zambia - the status of the larger grain borer, pp. 177-182. In Farrell, G., Greathead, A.H., Hill, M.G.M., and Kibata, G.N. [eds.], Management of Farm Storage Pests in East and Central Africa. Proceedings of the East and Central African Storage Pest Management Workshop, 14-19 April 1996, Naivasha, Kenya. International Institute of Biological Control, Ascot, Berkshire, U.K.

Wright, M., Akou-Edi, D., and Stabrawa, A., 1993.

Larger grain borer project, Togo. Infestation of dried cassava and maize by Prostephanus truncatus: entomological and socio-economic assessments for the development of loss reduction strategies. Report R1941, Natural Resources Institute, Chatham, Kent, U.K.

 

GO TO 'PREVIOUS PAGE' GO TO 'TABLE OF CONTENTS' GO TO 'NEXT PAGE' GO TO 'TOP OF THE DOCUMENT'