Back to Home Page of CD3WD Project or Back to list of CD3WD Publications

Continued

Indice - Precedente - Siguiente

EJEMPLO 6 - Determinar el flujo, la presión estática y la potencia de un ventilador para el silo del Ejemplo 5, en un lugar en que las condiciones climáticas son: temperatura de bulbo seco 25°C; humedad relativa del aire 67°C. El contenido de humedad inicial del producto es 22%. El llenado se realizará en una sola etapa.

SOLUCION - Según el Cuadro 13, el flujo mínimo, con un contenido de humedad inicial de 22%, temperatura de bulbo seco de 25°C y humedad relativa del aire de 67%, es:

qmin = 3,75-2 m3/s·m3

La capacidad estática del silo es de 267 m3 de maíz; luego, el flujo de aire que el ventilador tiene que proporcionar es:

Q = 3,75 ·10 2 ·267 = 10 m3·s

La presión estática, con un flujo de aire de 3,75·10-2 m3/s·m3y una capa de granos de 5 m de altura, según el Cuadro 18, es:

Pe = 2,88 kPa

Cuadros 18, 19, 20 y 21

Así, aceptando que 1,25 es el coeficiente de seguridad del flujo de aire, el ventilador debe cumplir la especificación siguiente:

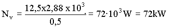
Q = 12,5 m3·s-1,
Pe = 2,88 kPa

La potencia del motor eléctrico Nv, expresada en watts, para accionar el ventilador, se calcula mediante el flujo de aire, Q, expresado en m3/s, la presión estática Pe, en kPa, y la eficiencia del sistema, en decimal, con la ecuación:

Si la eficiencia del sistema es 50%, la potencia del motor eléctrico es:

Cuadro 18 Presión estática (kPa) para el maíz

Cuadro 19 Presion estatica (kPA) para la soya

Cuadro 20 Presión estática (kPa) para el trigo

Cuadro 21 Presión estática (kPA) para el arroz

Dicha potencia es muy elevada, si se trata de secar solamente 200 t de maíz. Una de las alternativas para reducir ese valor seria realizar el llenado en capas, en vez de una sola etapa.

En el llenado por capas el flujo de aire que se utiliza es, normalmente, inferior al flujo necesario para secar en una sola etapa. El flujo de aire que se recomienda para el secado por capas es de 1,25*10-2 a 1,56*10- m3/s por m3 de capacidad estática del silo secador. La presión estática que el ventilador tiene que vencer se calcula sobre la base de la altura final de la capa de granos. La cantidad máxima del producto que se puede colocar en cada etapa de llenado se calcula sobre la base del flujo de aire mínimo.

EJEMPLO 7 - Determinar el flujo, la presión estática y la potencia de un ventilador para el silo del Ejemplo 6, realizando el llenado por capas.

SOLUCION - Con un flujo de aire de 1,25 · 1 10-2 m3/s y con llenado por capas, el flujo de aire que el ventilador tiene que proporcionar es:

Q = 1,25 · 10-2 · 267 = 3,33 m3/s

La presión estática, con un flujo de aire de 1,25 · 10 2 m3/s · m3 y una capa de granos de 5m de altura, según el Cuadro 18, es:

Pe = 0,56 (kPA)

Así, aceptando que 1,25 es el coeficiente de seguridad del flujo de aire, el ventilador debe cumplir la especificación siguiente:

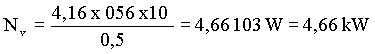
Q = 4,16 m3/s
Pe = 0,56 (kPA)

Si la eficiencia del sistema de movimiento de aire es 50%, la potencia del motor eléctrico debe ser:

Esta potencia es bastante inferior al valor que aparece en el Ejemplo 6 y el sistema se hace más viable.

EJEMPLO 8 - ¿Cuál es la cantidad máxima de maíz que se puede colocar en el silo de los Ejemplos 6 y 7, en cada etapa de llenado?

SOLUCION - El flujo de aire mínimo, con un contenido de humedad inicial de 22%, según el Ejemplo 6, es de 3,75 10-2 m3/s · m3

Como el flujo de aire nominal del ventilador es de 3,33 m3/s, la cantidad máxima de-i producto que se puede colocar en cada etapa es:

V = = 88,9 m3

Por tanto, cada capa de producto que se va a colocar en el silo, con un cotenido de humedad inicial del 22%, no debe ser superior a 66,7 toneladas de maíz.

Si se coloca una capa de 66,7 toneladas de maíz con contenido de humedad inicial igual a 22%, se podrá agregar una nueva capa solamente cuando el frente de secado alcance la superficie de la masa de granos que está dentro del silo. En tal caso, el secado de la nueva capa de granos comienza en cuanto ésta queda colocada, y el flujo de aire que se determinó es capaz de realizar el secado sin que se deteriore el producto.

EJEMPLO 9 - Si los contenidos iniciales de humedad de los Ejemplos 6 y 7 son 22% y 18%, ¿cuáles serían las cantidades máximas del producto que se podrán colocar en cada etapa de llenado?

SOLUCION - Con una temperatura de 25°C, humedad relativa de 67% y contengo de humedad inicial de 20%, el flujo de aire mínimo, de acuerdo con el Cuadro 13, es:

qmin = 2,5010-2 m3/s · m3

En esta forma, la cantidad máxima del producto que se podría colocar en el silo de una sola vez seria:

V = = 133,3 m3 de maíz y m = 133,3 ·0,75 = 100 t de

2,5x10 2 maíz

Con un contenido de humedad inicial de 18%, el flujo de aire
mínimo, según
el Quardo 13 es:

qmin = 1,25 10-2 m3/s m3

Así, la cantidad máxima del producto que se podría colocar en el silo de una sola vez sería:

V = = 267 m3; M = 267 ·0,75 = 200 t

de maíz esto es, llenado en una sola etapa.

Los ejemplos anteriores señalan que, cuando se trata de silos de mayor capacidad, el secado a bajas temperaturas resulta interesante únicamente cuando el llenado se hace por capas. Si se proyecta un silo para varios granos, el ventilador tiene que servir para todos los productos que se van a secar.

EJEMPLO 10 - Dimensionar un silo para secado a bajas temperaturas de soya y trigo, con capacidad de 177 toneladas (277 m3). Debido al lugar donde se va a hacer la instalación y al contenido de humedad inicial, el flujo de aire mínimo necesario es de 5,00 10- m3/s · m3 se debe poder hacer el llenado por capas.

SOLUCION - Por el Cuadro 16, las dimensiones de un silo que más se aproximan a la relación 5:3 son:

- diámetro = 7,8 m y
- altura de la capa de granos = 4,75 m.

Con un flujo de aire de 1,25 · 10-2 m3/s m3 y llenado por capas, el ventilador tendrá que proporcionar el flujo siguiente:

Q = 1,25 · 10 -2 · 227 = 2,83 m3/s

Por los Cuadros 19 y 20, las presiones estáticas que el ventilador tiene que proporcionar son:

Para soja - Pe = 0,40 (kPA)

Para trigo - Pe = 1,64 (kPA)

Como el trigo es el producto que ofrece más resistencia al flujo de aire, hay que proyectar el ventilador de acuerdo con él. Con un coeficiente seguridad de 1,25 para el flujo de aire, la especificación del ventilador será:

Q = 3,54 m3/s
Pe = 1,64 (kPA)

La potencia aproximada del motor eléctrico, con una eficiencia de 50% en el sistema, es:

La candidad máxima del producto que se puede colocar en el silo en cada etapa, con un flujo de aire nominal de 2,83 m3/s y el flujo de aire mínimo de 5,00 m3/s. m3, es

m = 56,7 x 0,75 = 42,5 t

En todos estos ejemplos se entiende que los ventiladores están conectados directamente al "plenum" de los slios y que la pérdida de carga, en el paso del aire por la plancha perforada y en el sistema de escape, será despreciable. En caso de que sea necesario introducir en el sistema elementos que provoquen pérdida de carga significativa del ventilador, se debe incluir esa pérdida de carga en el valor de la presión estática.


Indice - Precedente - Siguiente

CD3WD Project Donate