Back to Home Page of CD3WD Project or Back to list of CD3WD Publications

GO TO 'PREVIOUS PAGE' GO TO 'TABLE OF CONTENTS' GO TO 'NEXT PAGE'

PARTICIPATORY TECHNOLOGY DEVELOPMENT FOR THE INTEGRATED CONTROL OF MAIZE GRANARY PESTS IN THE RURAL AREAS OF BENIN

H. AFFOGNON1, D. KOSSOU2 & A. BELL3

1

International Institute of Tropical Agriculture (IITA), Benin

2

National University of Benin, Faculty of Agronomic Sciences, Cotonou, Benin

3

Deutsche Gesellschaft für Technische Zusammenarbeit (GTZ) GmbH,
German Technical Co-operation, Eschborn, Germany


Introduction

The numerous projects on the preservation of maize in Benin have unfortunately yielded very little result. In spite of all the efforts made to extend the control technologies developed, very few farmers adopt them because most of them are hardly ever developed or evaluated under local farming conditions. This goes to show that enough consideration has not been given to farmers' attitude, skills, knowledge and practices, and the technologies proposed are not sufficiently adapted to the socio-economic conditions of the farmers.

Since 1995, the GTZ (German Technical Co-operation) and IITA (International Institute of Tropical Agriculture), in collaboration with the Faculty of Agronomic Sciences and the National Plant Protection Service developed a collaborative approach to the development of technologies for the integrated control of maize. The general objective of the approach is to come up with sustainable integrated maize protection technologies that will be acceptable to the farmers.

Methodology

Implementation Team

Field activities were carried out by a team of four agronomists working in groups of two including a agronomist and a socio-economist, in each of the two project zones. The field team is under the direct supervision of a Senior Researcher in the post-harvest sector from the Faculty of Agronomic Sciences (FSA) of the University of Benin. The co-ordination of the project is handled by the Agronomist attached to IITA-Benin Station.

Site Selection

The two project zones were selected in collaboration with the Heads of the Regional Action Centres for Rural Development (CARDER). These are sites that have suffered most from the infestation of the Larger Grain Borer Prostephanus truncatus (Horn) (Coleoptera: Bostrichidae) and have contrasting characteristics:

*

The Kloékanmè-Toviklin sector in the Mono region south of Benin, is a humid zone with two rainy seasons, and is characterised by small scale farming.

*

The Banikoara sector in the Borgou region is a dry zone to the north of Benin and has one rainy season with cotton and maize as predominant crops.

Primary Data Collection

Before the team contacted the zones, agencies or institutions involved in similar activities were visited in order to find out about their approach to storage/preservation of agricultural crops in rural areas. Various institutions, Non Governmental Organisations, government-owned institutions, Training and Management Centres and Libraries facilitate the identification of the general objectives of the different projects surveyed, and the implementation approach. The purpose is to avoid any interference in the other field activities, whose effect might prejudice the actions of the project, and to establish a good relationship with agencies already involved.

Current situation

A quick survey combined with the collection of monographic data on the post-harvest sector of crops facilitate a rapid evaluation of the current situation of the villages of Kloékanmè-Toviklin and Banikoara concerned by the project.

Training of team members and take-off

Two training sessions were organised as refresher courses for the collaborative technology development team:

*

Training in post-harvesting systems aimed at providing team members with technical skills in all the aspects of the post-harvesting chain.

*

Training on the Collaborative Technology Development concept to give the team more exposure to the particular collaborative technology development process that concerns them. This training involves quick and extensive collaborative diagnosis of the two villages in the Mono and Borgou regions, in collaboration with the farmers, and with the support of participants from other institutions, Research, Extension and Non-Governmental organisations.

The joint analysis of Farmers and Researchers on the different causes of the problems identified has facilitated the drawing up of the following action plan:

*

to sensitise and train farmers on good post-harvest practices such as: timely harvesting, clean storage space, sorting of cobs before stocking, and stock monitoring;

*

to sensitise them on the dangers posed by the P. truncatus, and the indiscriminate use of banned products, and to inform farmers on the phytosanitary products recommended for the treatment of maize stock, the different adequate application methods, and the appropriate methods of preserving maize;

*

to sensitise farmers on the biological control concept and to boost the principles of granary inspection by making them participate in trapping activities. This involves making pioneer farmers set, collect, and sort the pheromone traps and discussing the results obtained at village meetings. The final objective of the collaborative trapping are:

1.

to achieve better control of the application of insecticides;

2.

to conduct trials on the different measures prescribed with or without the adequate and recommended phytosanitary products, and to integration them as training aids in the sensitisation or training sessions.

The results presented in this paper relate to the different tests carried out on farmers' stocks, as well as information obtained during the sensitisation and training stage facilitated the formulation of stock protection measures that suit the realities of each zone.

Results and Discussions

Mono Zone

A review session with the farmers after the first storage season led to the preparation a mixture of Pyrimiphos Methyl EC (50 cc) + Deltamethrin EC (30 cc) in 3.5 l. of water per ton of maize in husk as a substitute for the cotton chemical used to protect maize stock. Investigations revealed that the different granaries in a concession have clearly defined functions. Thus, stocks for consumption are different from stocks for sale, and double purpose stocks that serve the two purposes. The experiments in the second year show that untreated stores were emptied more quickly because they are meant for consumption, but it must also be noted that the 20% loss level after 165 days in storage also contributed to the quick unloading of the stores. Only 165 days after storage, over 90% of stores were already empty (Fig 1). According to the farmers, the life span of stocks meant for food consumption did not exceed 3 months while that of Figure I shows that at the end of 4 months in storage, 50% of stores were not yet de-stocked.

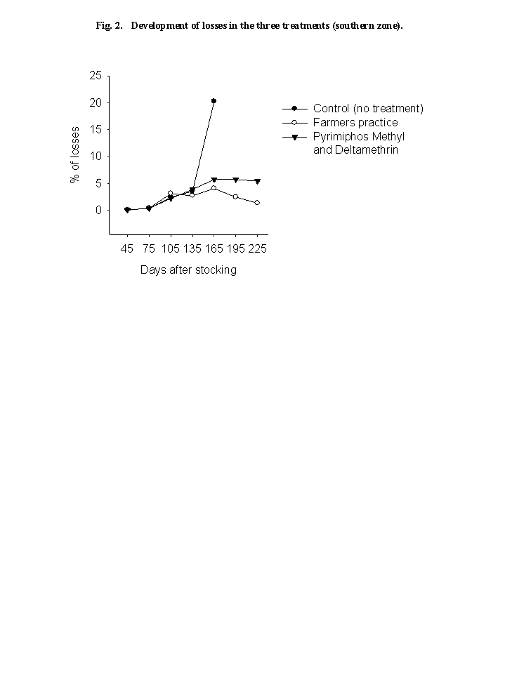
The application of local products after observing such principles as timely harvesting, sorting of cobs, and sanitised stores has prolonged the life span of the stocks. As shown in Figure 1, over 40% of stores subjected to local treatment were not de-stocked before 225 days in storage. The stores treated with Pyrimiphos Methyl EC + Deltamethrin EC were unloaded more slowly. Most of the stores were unloaded after 7 months when prices were at their best in the market. This can be explained by the fact that stocked products are, after all said and done, meant for sale. The loss level recorded in stores treated with local products and Pyrimiphos Methyl EC and Deltamethrin is very low (less than 5%) (Figure 2). Note that although the losses made in granaries treated with chemical products were a bit higher, these stores were unloaded more slowly than those treated with local products.

Fig.1.



CoProportion of unloaded grain stores over time in the three treatments (southern zone).



GRAPH2.2_A.GIF (7 KB)

The different investigations carried out in the villages backed by the above observations show that the unloading of stores by farmers is determined by several factors such as consumption, damage level, financial needs and sale at a time when the prices are high in the market.

Borgou Zone

Figure 3 confirms the effectiveness of Sofagrain (binary insecticide containing Pyrimiphos Methyl and Deltamethrin powder) on maize husks obtained in the first year of storage. The low loss level in the other treatments makes the plan to resort to the use local products more practicable if chemical products are not available, but this has a shorter time lapse (5 months). The loss trend in the treatments: dried and ground Cailcédrat bark (Khaya senegalensis (Desv.) A. Juss) Melicae, and the insect repellent (not yet identified) shows that these treatments have limits depending on such factors as the existence of parasitic pressure of about 1.75 Prostephanus truncatus and an average of 0.75 Sitophilus zeamais per cob in the pioneer granaries after 8 months in storage. Figure 4 shows that dehusked maize seems to suffer less damage when treated with the local product (the concoction made from Cailcédrat bark). The type of storage space can to a certain extent help resolve the problem posed by the time lag between cotton and maize harvest. The farmer can then stock his maize just after harvesting without bothering to dehusk, an activity which according to the farmers is time consuming.

Fig.2.



Development of losses in the three treatments (southern zone).



GRAPH (6 KB)

Alternatives for the protection of maize

In view of the different results obtained during the two storage seasons, discussions with the farmers during the review session led to the alternative described in tables 1 and 2 depending on the zone.

Thorough implementation of one of the alternatives offers such obvious advantages as:

*

improvement of the traditional storage system;

*

longer life span for stock whatever their purpose;

*

preservation of the quantity and quality of stock;

*

less risks to consumers;

*

better value-added for stocks.

Fig.3.



Development of losses of dehusked maize in the three treatments (northern zone).



GRAPH (7 KB)
Fig.4.




Development of losses of maize stored as cobs with husks on in the three treatments (northern zone).



GRAPH (6 KB)

Conclusion and Prospects

The development of a collaborative approach for the integrated control of maize enables both farmers and Researchers to:

*

identify the problems linked with stock control and management;

*

create a forum for discussing and exchanging ideas and information with farmers, researchers and other interested parties;

*

develop a combination of control measures and management methods that are best adapted to the socio-economic systems of farmers.

Tab. 1:

Alternatives for maize protection in a zone with two rainy seasons (as in Mono) where the main storage space is the airy type, and where the maize is usually stored unhusked.


Treatments

Regular monitoring of store

Detection of infestation
and decision-making

Change of state of conservation

Final decision


Protection of stock meant for consumption:

- basic measures*

  • without treatment
  • local products
inspection
of store
(at least once a month)
consumption

Protection of stock meant for sale:

Strategy for changing the conservation systems with synthetic products
- basic measures*

  • without treatment
  • local products
inspection
of store
(at least
once a
month)
shelling and
treatment with Sofagrain or
other appropriate products or sale
continued conservation
of grain
timely sale
and consumption

Protection of stock
meant  for sale:

Strategy for changing
the conservation
systems
- basic measures*

Pirimiphos methyl & Deltamethrin
in EC
inspection
of store
(at least
once a
month)
shelling and
treatment with Sofagrain or other appropriate
products or sale
continued conservation
of grain
timely sale
and consumption

*

The basic measures include: choice of grain, storage hygiene, timely harvest, and sorting of cobs before storing.

**

Highest level of infestation according to farmers.

The collaborative approach creates opportunity to publicise new information or confirm the advantages offered by the research for extension. The method applies to a limited geographic zone. The results can only be extended if the problems identified in the preliminary inquiry stage and the socio-economic realities of the zones are identical to those of the zones where the technologies were developed. The extension strategy is expected to intervene on two levels:

*

the dissemination of information on the achievements of the "Extension farmers" i.e. the farmers that participated in the activities of the Collaborative Technology Development programme for the two years. These farmers that are identified and retained are re-educated on the topics to be extended and the collaborative method of passing the information. A set of logistic aids will be made available for each "Extension Farmer" to enable him carry out his duty. Because of the distances that separate them, the ones used in the South are different from those used in the North.

Dissemination of information on achievements by APVs and NGOs

APVs are the versatile extension Officers in the civil service involved in the rural development from the grass root. They are in direct contact with the population. APVs are trained on the subject to be extended and the way the message should be transmitted. This involves:

*

calling a village meeting to identify the problems of stock protection and exploring technological requirements;

*

discussing the alternatives to be extended among the proposed methods;

*

choosing the appropriate protection technology in collaboration with the farmers;

*

identifying ways of passing on the message in collaboration with the village community.

The contribution of NGOs is complementary to that of APVs and is mainly aimed at sensitising on the implementation of the technology developed in a conducive manner.

The Collaborative Technology Development Programme acts as a bridge between Scientists and Farmers. It seeks for a balance between indigenous and scientific technology, as well as that of other development projects.

Tab. 2:

Alternatives for maize protection in a northern zone (as in Borgou) with unimodal rainfall where storage structures vary.


Management
Strategy for the harvest period
and/or occasional shortage of
insecticides
Protection strategy through the use of
local products or powder insecticides
Protection of stock by powder insecticides

basic measures* basic measures* basic measures*

Stae cob maize with husks
on
cob maize dehusked shelled maize

Structure

- Secco
- shop
- Traditional     mud store

- Secco
- shop
- Traditional     mud store

- improved mud
   store
- bags


Treatments local products
(e.g. concoction of Caïlcédrat bark)

1. Local products
    (e.g. dried and
    ground
    Caïlcédrat bark)

2. Powder
    insecticides
   (Sofagrain,
    Actellic Super or
    Percal M.)

powder insecticides (Sofagrain, Actellic- Super or Percal M.)

Regular monitoring of stores inspection of stores
(at least once a month)
inspection of stores
(at least once a month)
inspection of stores
(at least once a month)

Detection of
infestation**
and decision-
making
shelling and treatment with Sofagrain or other appropriate products or sale

1. Shelling and
    treatment with
    Sofagrain or
    other appropriate
    products or sale

2. More than eight
    months of
    conservation

more than eight months of conservation

Change of state of conservation continued conservation of grain           continued conservation of           grain

Final decision timely consumption
and/or sale
timely consumption and/or sale timely consumption and/or sale

*

The basic measures include: choice of grain, storage hygiene, timely harvest, and sorting of cobs before storing.

**

Highest level of infestation according to farmers.

To meet the needs of the farming community, such a process must be initiated, maintained, experimented and evaluated by those who are expected to benefit from it. The evaluation indicators of farmers are the best means of appreciating the innovations during the development process.

 

References

Bell, A., 1995.

Rapports du premier et du deuxième trimestre d’exécution du projet GTZ "Lutte Intégrée contre le Grand Capucin du Maïs et Insectes Associés dans les Greniers Ruraux". GTZ, Eschborn, Allemagne.

Bell, A., 1996.

Rapports du troisième et du quatrième trimestre d’exécution du projet GTZ "Lutte Intégrée contre le Grand Capucin du Maïs et Insectes Associés dans les Greniers Ruraux". GTZ, Eschborn, Allemagne.

Bell, A., 1997.

Rapports du premier, du deuxième, et du troisième trimestre d’exécution du projet GTZ "Lutte Intégrée contre le Grand Capucin du Maïs et Insectes Associés dans les Greniers Ruraux". GTZ, Eschborn, Allemagne.

Floquet, A. & Mongbo, R., 1995.

Rapport sur: Atelier de formation pour le Développement Participatif de Technologies Post-récolte au Bénin, Lokossa, 04 au 16 Septembre, 1995.

Floquet, A. & Mongbo, R., 1996.

Rapport du deuxième module de formation sur le Développement Participatif de Technologies Post-récolte au Bénin, Lokossa, 25 au 29 Juin, 1996.

Floquet, A. & Mongbo, R., 1997.

Rapport du troisième module de formation sur le Développement Participatif de Technologies Post-récolte au Bénin, Lokossa, 15 au 18 Avril, 1997.

Scheuermeier, U., 1995.

Développement de technologie participatif: Qu’est-ce que le "PTD" (Participatory Technology Development). BeraterInnen News 2/95.

Werner, J., 1996.

Développement participatif d’innovations agricoles: Procédures et méthodes de la recherche en milieu paysan. GTZ, Eschborn, Allemagne.

 

GO TO 'PREVIOUS PAGE' GO TO 'TABLE OF CONTENTS' GO TO 'NEXT PAGE' GO TO 'TOP OF THE DOCUMENT'